收藏本站 劰载中...网站公告 | 吾爱海洋论坛交流QQ群:835383472

利用雷达和站点降水数据融合方法提高了洪涝模拟水平

[复制链接]

降水是全球海洋与陆地水循环的主要环节之一,也是开展洪水模拟研究的主要数据输入。受气候因素和下垫面因素影响,降水的形成和分配在时空分布不均匀,进而又影响了陆地径流、蒸散发、土壤水分、地下水等流域水循环过程。因此,需要与之相应的测量手段,以反映降水的雨时、雨量和雨面诸因素随时间的变化。由于现有的降水定量观测方法均存在优缺点,有效结合不同来源降水资料的优势,发展区域性或全球性高分辨率的降水融合产品,被认为是解决气象和水文研究的一种有效途径,因而越来越受到气象资料基础研究领域的关注和重视。

南方实验室海洋-陆地-大气相互作用与全球效应创新团队核心成员吴欢教授和团队男顶博士通过融合不同来源降水资料的优势,开发针对流域尺度上的高质量、高分辨率降水融合方法和数据产品,以提高洪水监测和预报的实际应用。通过多准则似然判据GLUE方法,具体研究了雷达-雨量计融合降水产品相对于传统的雷达或站点数据在水文模拟中的主要优势和模拟不确定性。

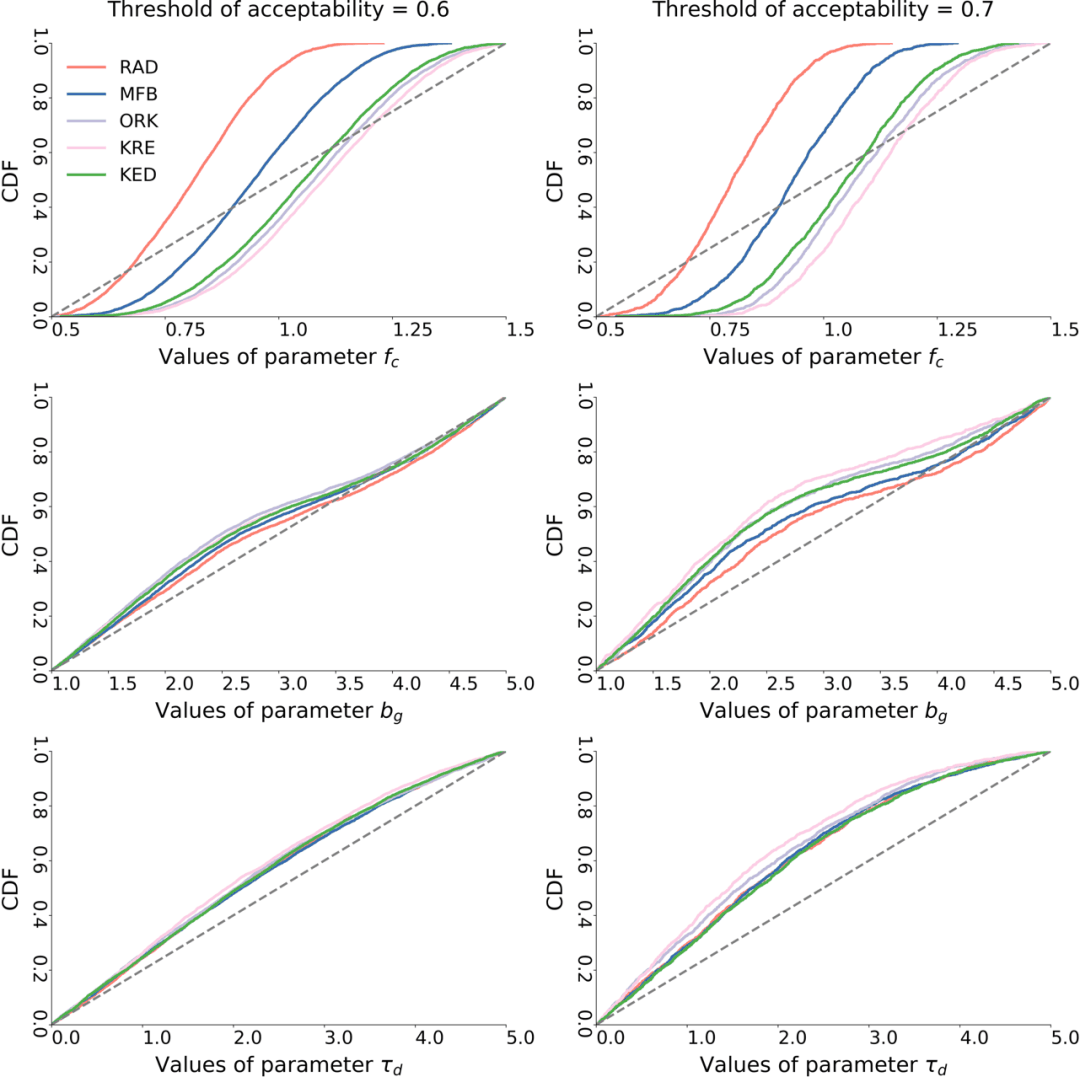
当雷达和雨量计降水质量都很差时,使用雷达-雨量计融合降水可提高径流模拟结果(图1)。而GLUE分析表明模型参数的分布不仅取决于GLUE阈值的选择,还取决于降水产品质量和模型的敏感参数。最好的GLUE模拟拥有对观测的高覆盖率的同时还要满足较小的不确定性范围。总体上,KED融合降水产品具有更好的GLUE水文模拟性能,即较高的P-90CI和较小的ARIL(图2)。当提高GLUE阈值时,参数变化被限制在较小的区间,而高质量的降水产品显示出对参数集变化范围有更大的容忍度,更容易产生模型“异参同效性”,特别是对降水敏感的参数(图3)。以上研究结果将有助于促进模型参数和结构优化,为实时洪涝监测预报系统提供快速、准确、全面、客观的信息,使得水文模型在减灾防灾中发挥更大的作用。

dc07724865d07ab47eced98fcfa1f0e2.png

图1. 在小提琴分割图中,左侧表示率定期间的NSE分数分布,而右侧表示验证期间的NSE分数分布。

eaec754e7101400ecb1dcda7f95f6361.png

图2. GLUE不确定性分析中ARIL和P-90CI之间的权衡,GLUE阈值为0.6 (a-c) 和 0.7 (d-f)。

4e30b78774e4553308f9499b235be4f8.png

图3. GLUE模拟得出的行为参数值的累积分布函数(CDF),其阈值为0.6(左列)和0.7(右列);灰色虚线表示作为参考的均匀累积分布。

该研究成果于2021年10月发表在水文气象领域权威期刊Journal of Hydrology(中科院SCI一区,影响因子5.72)上,题目为“Uncertainty Assessment of Radar-Raingauge Merged Rainfall Estimates in River Discharge Simulations”。创新团队核心成员吴欢教授为文章的通讯作者,中山大学特聘副研究员男顶博士为文章的第一作者。

该研究得到国家自然科学基金、南方海洋实验室创新团队建设科研经费等的支持。

文章信息:

Nanding, N., Rico-Ramirez, M. A., Han, D., Wu, H., Dai, Q., & Zhang, J. (2021). Uncertainty Assessment of Radar-raingauge Merged Rainfall Estimates in River Discharge Simulations. Journal of Hydrology, 127093.

原文链接:

游客,如果您要查看本帖隐藏内容请回复

' c  ]  G2 F. N1 A; K

' q4 p8 Y  n, }: @
回复

举报 使用道具

相关帖子

全部回帖
暂无回帖,快来参与回复吧
懒得打字?点击右侧快捷回复 【吾爱海洋论坛发文有奖】
您需要登录后才可以回帖 登录 | 立即注册
张龙生
活跃在2022-11-7
快速回复 返回顶部 返回列表