收藏本站 劰载中...网站公告 | 吾爱海洋论坛交流QQ群:835383472

【海洋算法】单矢量水听器直方图测向算法目标探测性能...

[复制链接]

矢量水听器矢量通道具有与频率无关的偶极子指向性,同时具有抗各向同性噪声干扰的能力,单个矢量水听器即可实现全空间无模糊定向,这为解决水下小平台搭载声学传感器进行目标探测提供了空间上的优势。近年来,随着矢量水听器工艺技术的不断提高,矢量信号处理技术也在强大的应用需求推动下得到了快速发展,与常规声压水听器相比,矢量水听器提供了更加全面的声场信息量,其不仅可以测量声场标量,还可以得到声场的矢量特征,极大地拓宽了信号处理的空间。

3e409c7111ae73834ff90a0c5afcab5f.png

基于单矢量水听器的目标方位估计算法有很多,但总体上可以根据测向原理分为两大类:一是基于声能流的方位估计;二是将矢量水听器的各通道看作是多元阵列,各阵元在空间近似位于同一位置点,利用单矢量水听器自身具有阵列流型的特点,将现有的阵列信号处理方法应用于单矢量水听器。矢量水听器各种目标测向算法各有优缺点,其中直方图算法较其他算法具有良好的鲁棒性和目标方位估计性能,并具有抑制窄带和强线谱干扰的能力,特别适于工程应用。

本文对基于单矢量水听器的直方图测向算法进行了分析和总结,并提出了一种基于目标方位估计的水中目标自主探测与跟踪算法,利用计算机仿真、消声水池测量数据和海上试验数据分析了直方图算法目标探测性能。

一、理论算法

⒈直方图测向算法

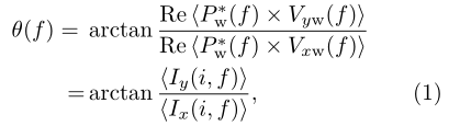
直方图算法需首先计算不同频点处的目标方位估计值,其计算表达式为

04aefd78309315b63269a01091c54a24.png

式(1)中,θ(f)表示不同频率f计算得到的目标方位,Pw、Vxw和Vyw分别表示矢量水听器声压Px方向振速通道和y方向振速通道采集信号频谱值,Ix和Iy则分别表示x方向和y方向声能流。由式(1)可以看出,通过式(1)计算出的目标方位与频率f有关,不同频点处的目标方位估计值不一样,通过直方图估计目标方位的方法可以将环境中存在的窄带干扰和强线谱干扰抑制,但当环境中存在多目标且辐射噪声频率相互重叠的情况下,直方图方法则无法得到各目标的真实方位,只能获得各目标声能流的合成方位,此合成方位会偏向强度较大的目标方位。直方图方位统计是将目标估计方位θ(f)按频点数统计在相对应的各个方位区间里,如果按1°划分方位区间,则有

k=[θ(f)×180/π],φ(k)=φ(k)+1(2)

式(2)中,[]表示取整运算,kθ(f)取整得到的值,如θ(f)≤0,则θ(f)=θ(f)+360°,使目标估计方位落在区间[0°360°)上,φ为方位估计在各个角度处的频数,其最大值对应的角度值即为目标估计方位。

⒉一种目标自主探测跟踪算法

基于目标方位估计的水中目标自主探测与跟踪算法其基本思想是通过对直方图算法估计的目标方位进行统计分析,并利用方位统计值与预设门限进行对比,可最终实现水中目标有无自主检测和跟踪。目标自主探测跟踪流程框图如图1所示,其包括以下5个步骤:(1)首先采用单矢量水听器直方图算法在整个空间方向上进行扫描,得到接收信号的估计方位角Ag;(2)利用恒虚警检测器(CA-CFAR检测器)对步骤(1)得到的目标方位进行恒虚警处理;(3)如CA-CFAR检测器判断Ag为目标信号方位,则将Ag值赋给矩阵AgT[i],否则将−1赋给矩阵AgT[i](i=1,2,···,N);(4)如矩阵AgT≠1的值个数大于AT(AT为预设门限阈值,AT<N,N为矩阵AgT的元素个数),则对矩阵AgT进行统计分析,否则重复步骤(1)∼(3);(5)对矩阵AgT≠-1的值剔除野值后计算均方根误差StdAT,如StdAT小于阈值StdDT则判断有目标存在,并对目标方位进行跟踪,否则重复步骤(1)∼(4)。通过以上5个步骤即可实现对水中目标的自主探测与跟踪。

7eb0867a906e91422467d61b99060f71.png

图1  目标自主探测跟踪流程框图

图1中,CA-CFAR处理的原理是对某一方位目标进行检测与跟踪时,由于海洋环境的非平稳性,导致在某一检测概率附近时,虚警概率不稳定,而通过实时跟踪环境噪声的水平以设定时变门限,即可达到对该方位目标虚警概率恒定的检测效果。一般情况下阈值是检测概率和虚警概率的函数,CA-CFAR处理技术是在自动检测系统中提供检测阈值,并且使噪声和干扰对检测系统虚警概率影响最小化的一种信号处理算法。在CA-CFAR处理技术中,当特定单元需要检测时,被检测的单元称之为测试单元(CUT),测试单元周围用于提取噪声功率的样本单元称之为参考单元(RC)。

025e355d5f11dfa08698f8f82cf8b026.png

图2  CA-CFAR处理示意图

为避免目标信号泄漏到参考单元中,从而对噪声功率估计产生不利影响,在参考单元与测试单元之间要保留一部分样本作为保护单元(Guardcells,GC)。图2给出了测试单元、参考单元和保护单元之间的关系。


1 G% _7 w6 Z* \9 G1 Q. ~" W) q

二、目标探测性能分析

本节将给出直方图算法目标探测性能计算机仿真结果,并利用消声水池和海上试验数据分析该算法目标测向和自主跟踪性能,为简便起见,本文只对单目标情况进行分析。

⒈仿真分析

仿真条件如下:考虑1个宽带目标信号入射到单矢量水听器上,入射方位为100°,同频带内信噪比(简称信噪比(SNR))取值为−20∼16dB,以2dB为间隔,附加噪声为与入射信号不相关的高斯白噪声,采样频率为20kHz。每次计算过程数据长度为5s,时间窗内按75%数据重叠率细分为长度为1s的17段数据,并对每段数据进行32768点快速傅里叶变换(FFT)计算,处理频段为200Hz∼3kHz,求得17组声强谱并求平均后采用直方图算法进行目标方位估计。图3为使用以上仿真条件直方图算法方位估计结果随信噪比变化(即归一化方位谱随信噪比变化,方位谱为不同方位上的幅值),每个信噪比条件下进行200次蒙特卡罗独立仿真实验,可以看出,估计方位历程随信噪比增大而渐渐清晰。

914198f9b0ee59b860a02a50a279d910.png

图3  仿真信号估计方位随信噪比变化历程图

为定量描述直方图算法目标方位估计性能,图4和图5分别给出了测向误差和−3dB方位谱宽度随信噪比变化曲线,可以看出,当信噪比为−7dB时,测向误差约为8°,−3dB方位谱宽度约为19°;而当信噪比大于0dB时,测向误差和−3dB方位谱宽度则分别小于3°和7°。

3b65778cf173bcc87b9e198328833f2e.png

图4 测向误差随信噪比变化曲线

522e04a12bcb7747594a0063d2618fc3.png

图5  −3dB方位谱宽度随信噪比变化

图6为根据第1节提出的目标自主探测跟踪算法给出的目标自主跟踪标志随信噪比变化曲线,目标跟踪标志1代表该算法实现目标跟踪,0为没有实现目标跟踪。由图6可以看出,当信噪比大于−7dB时直方图算法即可实现目标自主跟踪。

d3558bf026b7a4ed77727237965646a2.png

图6  目标跟踪标志随信噪比变化

⒉水池测试分析

为掌握单矢量水听器直方图算法目标探测性能,在消声水池进行了单矢量水听器目标探测性能验证试验,试验过程中用UW350作为声源目标,深度位于水下3m。测试所用信号为信号源输出的宽带高斯白噪声,其输出峰峰值分别设置为10mV、20mV、25mV、50mV、100mV、1V和10V,每种信号发射时长60s,其中小信号发射声源级通过公式20lg(A1/A2)推算获得,其中A1和A2为信号源设置输出的峰峰值。由信号发射声源级则可根据矢量水听器与声源间的距离推算得到矢量水听器各通道接收信号信噪比。

表1  矢量水听器接收声源信号宽带平均信噪比结果

30a891d0998b12e96d3f87bb98832f59.png

表1给出了矢量水听器各通道接收声源信号宽带平均信噪比结果,并给出了不同声源发射强度下各通道信噪比平均值,可以看出,信号源输出峰峰值分别为10mV、20mV、25mV、50mV、100mV、1V和10V时,矢量水听器接收到的声源信号宽带平均信噪比分别为−13dB、−7dB、−5dB、1dB、7dB、27dB和47dB。

利用直方图算法分别对7种信噪比信号进行处理,计算得到的方位估计结果随时间变化如图7所示,图中同时标注出了每个时间段内的信号输出峰峰值和矢量水听器接收信噪比。由图7可以看出,声源目标估计方位随接收信噪比增大而逐渐稳定并与真实方位基本重合。

6bf3559927fcd4fecaf06f080778a93e.png

图7  消声水池不同信噪比信号方位估计结果

图8和图9分别给出了直方图算法对7种声源发射信噪比信号方位估计误差和−3dB方位谱宽度,可以看出,测向误差和−3dB方位谱宽度随信噪比增大而逐渐减小,其中测向误差在声源发射峰峰值10V噪声信号时较峰峰值1V有增大现象,这是由于声源发射高声源级信号时消声水池在低频段消声不完全而存在较强界面反射;当信噪比为−7dB时,测向误差约为8°,−3dB方位谱宽度约为23°;而当信噪比大于1dB时,测向误差和−3dB方位谱宽度则分别小于4°和19°。

91533da4c92ae42b755e5fadea7b1442.png

图8  消声水池不同信噪比测向误差

acc81ce14eccdf6b270c13f1600e9c27.png

图9  消声水池不同信噪比3dB方位谱宽度

图10为根据目标自主探测跟踪算法计算的目标跟踪标志随声源发射信号强度变化曲线,可以看出,当信噪比为−7dB时,直方图算法即可实现对声源目标自主跟踪。

93fed99de1fd3bad5039db2ba69e525d.png

图10  消声水池不同信噪比信号目标跟踪标志

⒊海上试验分析

利用2019年8月在南中国海北部海域开展的水下声学浮标目标探测性能验证试验数据,分析单矢量水听器直方图算法对海上目标探测性能。试验海区深度约为1500m,试验期间气象条件较好风速约为2级,船载投弃式温盐深仪测量结果显示,声速剖面在深度40m以内是均匀层,深度40∼200m范围内为声速主跃变层,声道轴在1000m附近深度上。试验某天12:33–14:02时间段内,一艘船长42m、船宽6m、航速8.4kn的水面航船以301°航向经过水下声学浮标附近,期间,水面航船与水下声学浮标距离最近时约2km,最远时约13.8km,态势图如图11所示。

0e0b476c31e1271a4ba67a3add3df4f8.png

图11  水下声学浮标与水面航船位置态势图

图12给出了直方图算法计算得到的水面航船目标方位估计结果与真实方位对比图,可以看出,直方图算法在整个12:33–14:02时间段内均可实现对水面航船目标的测向跟踪。

ee23e6381b108d298bc3e859c36ec625.png

图12  水面航船噪声估计方位时间历程图

图13和图14分别给出了12:33–14:02时间段内直方图算法对水面航船目标测向误差和−3dB方位谱宽度随时间变化曲线,可以看出,测向误差最优可达5°以内,在距离较近的位置点附近−3dB方位谱宽度可达10°左右;另外,由于水下声学浮标水下推算位置存在偏差,从而导致水面航船与浮标平台距离较近时测向误差存在增大现象。

89eab764915e0c88df21e4f667a802fc.png

图13  水面航船测向误差随时间变化

a129b6b4d24c338837ce131c76d1717b.png

图14  水面航船方位估计3dB方位谱宽度随时间变化

图15为目标自主探测跟踪算法计算的目标跟踪标志随时间变化曲线,可以看出,该算法对航速8.4kn的水面航船在距离13.8km范围内,可实现全程目标自主跟踪。

ac98379d93698ae63cd1f5ae3f2e4cca.png

图15  水面航船目标跟踪标志随时间变化


0 W' }7 ~' E. J: C8 _1 [

三、结论

本文针对单矢量水听器在水下无人平台上的工程应用需求,提出了一种水中目标自主探测与跟踪方法,并利用仿真计算、消声水池测试和海上试验分析总结了基于单矢量水听器的直方图算法目标探测性能。计算机仿真和消声水池测试数据结果表明,直方图算法实现自主跟踪所要求的信噪比需大于−7dB,此时测向误差约为8°,−3dB方位谱宽度约为20°。海上试验数据结果表明,深海良好水文条件下,直方图算法对航速8.4kn的水面航船在距离13.8km范围内,可实现全程目标探测和跟踪,测向误差最优可达5°,在距离较近的位置点附近−3dB方位谱宽度可达10°左右。

4 B3 f6 Q4 u( ]! [5 f% q9 U; m
5 k8 Y9 Z. v9 M% J* Y0 r6 M' c9 ^
58b39cf8c662cebbce3ccf066fe9105c.jpeg
回复

举报 使用道具

相关帖子

全部回帖
暂无回帖,快来参与回复吧
懒得打字?点击右侧快捷回复 【吾爱海洋论坛发文有奖】
您需要登录后才可以回帖 登录 | 立即注册
文星雨
活跃在5 天前
快速回复 返回顶部 返回列表