收藏本站 劰载中...网站公告 | 吾爱海洋论坛交流QQ群:835383472

珊瑚共生关系碳循环数值模拟研究—跨越细胞到生态系统...

[复制链接]
            

研究亮点:珊瑚与藻类(虫黄藻)的共生关系一直是生态学的研究热点。本研究建立了一个基于过程的多尺度珊瑚共生关系动态模型,在细胞尺度上描述珊瑚光合、呼吸和有机碳转运;在生物体尺度上描述珊瑚虫不同组分(即腔肠体、钙化流体)中的离子转运及钙化作用;最后实现了与周围海水在生态系统层面上的物质交换。模型确定了影响珊瑚共生关系碳收支的主要过程。对于共生体来说,光合作用是主要的碳源,有机碳向寄主的转运是其主要的碳汇。对于宿主来说,从共生体转运的大部分有机碳会以粘液渗漏的形式丢失。该耦合模型还应用于不同大气二氧化碳分压下的情景研究。结果显示在较高的大气二氧化碳分压下,珊瑚钙化率下降,光合速率增加,珊瑚杯体里的碳酸盐体系也会发生相应变化。本研究以一种耦合的方式模拟珊瑚共生系统,这是迈向全面综合的珊瑚礁生态系统模型的重要一步。2 C; u" Y) Q, ~) P- ?  G  Q, c" K


: u3 k: ]! |# B1 m9 d

01

3 `* N. f3 Q+ J# }5 E

研究意义

6 N8 a! m' Y$ |6 \2 L

珊瑚礁是地球上生产力和生物多样性最高的生态系统之一,其在寡营养海域也能维持高效的物质循环得益于珊瑚—共生藻的共生关系。珊瑚共生体通过光合作用、摄食、钙化等生理生化过程驱动珊瑚生态系统高效的有机碳和无机碳循环(图1)。珊瑚生态系统对温度、光照、营养盐和CO2分压等环境变化十分敏感。近三十年来,珊瑚礁在人类活动和全球变化的影响下经历了前所未有的破坏和退化,因其独特的生态系统结构和对全球变化的敏感性为研究气候变化和人类活动带来的生态效应提供了机遇。
0 Z8 l' t0 u" `% x* N9 h

ee5edb1dae69c71cb19ff650fb2785d8.jpeg

图1. 多尺度珊瑚礁生态环境概念图。A珊瑚杯体特写;B珊瑚杯体横切面示意图;C 虫黄藻细胞显微镜图;D 珊瑚礁生态系统示意图(图A,B,C来自Fournier, 2013)。虫黄藻生活在珊瑚虫杯体的内皮层中,虫黄藻可以通过光合作用固定二氧化碳,刺激珊瑚虫分泌钙质骨骼形成珊瑚礁;并能给宿主珊瑚虫提供氧气和碳氮等营养元素。宿主珊瑚虫可以从捕食消化的浮游生物中获得维生素、微量元素和其他必需物质,供给藻类使用。宿主珊瑚虫产生的代谢废物可通过藻类转化为氨基酸等物质,又返还给宿主珊瑚虫使用。珊瑚与共生藻之间的互惠共生关系是该生态系统背后的主要生产动力。珊瑚的白化是因为与共生藻间的亲密关系遭到破坏,白化的珊瑚难以争取空间、抵御疾病及对抗其他压力,最终面临死亡。

7 K+ t* z4 t! p8 Z4 N8 _  n

瑚共生关系涉及细胞尺度的珊瑚共生体无机碳固定和有机碳转移,珊瑚杯体尺度的微碳循环,以及珊瑚所处外界海水温度,光照,环流等生态系统尺度的环境变化,是一个多尺度的能量循环结构。全球变化下的海洋增温、酸化、以及陆源营养盐输入会引起的任意一个尺度的循环发生改变。数值模拟可以克服时间、空间的局限性,实现“细胞—有机体—生态系统”多尺度过程的耦合,从机理出发诊断珊瑚生态系统应对单一或联合环境因子变化的响应机制,是一种基于过程的定量研究珊瑚生态系统物质循环的新方法。  [1 o3 A. M. `6 p, ~1 A

7 C* k5 ]8 g. e- Q0 c/ [

02

; }% B; j' T# w7 j6 U" n  T

模型简介

$ _/ y% U3 l* ^& k: P

本研究通过对珊瑚共生生态系统关键生理生化过程进行参数化,厘清珊瑚共生系统能量循环基础(图2)。其中包括:# a( V1 }6 W% B( x

1)珊瑚—虫黄藻共生内循环建模

在细胞层面上参数化珊瑚—虫黄藻共生关系中无机碳吸收和有机碳代谢相关的能量循环过程。建模包括:虫黄藻对光合营养盐的吸收、呼吸作用、共生藻细胞生长、死亡、有机碳往宿主的转移,估算共生关系内循环里的碳收支;模拟珊瑚宿主对无机碳的获取,有机碳的利用过程(呼吸作用、生长、死亡和粘液分泌)。

2)珊瑚杯体微碳循环建模

从能量角度将虫黄藻光合作用积累能量和珊瑚钙化消耗能量关联起来,将细胞尺度的共生关系和有机体尺度的钙化过程耦合在一起,模拟珊瑚杯体各部间离子的交换以及碳酸钙沉降。

3)实现与外环境耦合

海洋生物地球化学模型计算水体中的生源要素DIC和总碱度的变化,包括浮游植物初级生产,呼吸过程,降解过程,以及海气界面处的气体交换。作为典型的底栖海洋生产者的珊瑚礁,我们假设在耦合过程中,与珊瑚礁系统的物质交换首先发生在海洋生物地球化学模型的底部网格处(图3)。珊瑚生理生化过程带来的DIC、DIN和DOM浓度的变化会通过双向耦合反馈到海洋生物地球化学模型。

df82ca9ea87a4689db2b9f647738fe0a.jpeg

图2.珊瑚礁生态系统模型框架图(耦合模型包括带有虫黄藻光抑制模块的珊瑚共生模块、水动力和海洋生物地球化学模块。其中方框所圈表示模型中的主要变量,箭头表示能量的流动。

efef9d57bab10d8b8891f16a2f7488a1.jpeg

图3.珊瑚模型与生物地球化学模型网格的耦合。珊瑚位于生物地球化学模型的底部网格上。绿点表示共生体(虫黄藻),生活在珊瑚虫体内。


* i0 Q. N, g: q) z6 h

03


5 t% T5 `) H) |8 P& a6 d9 [


: Y4 o9 j, Q1 k' \# f" ?7 A

主要结果

5 g) k  B1 Q, a" o& t

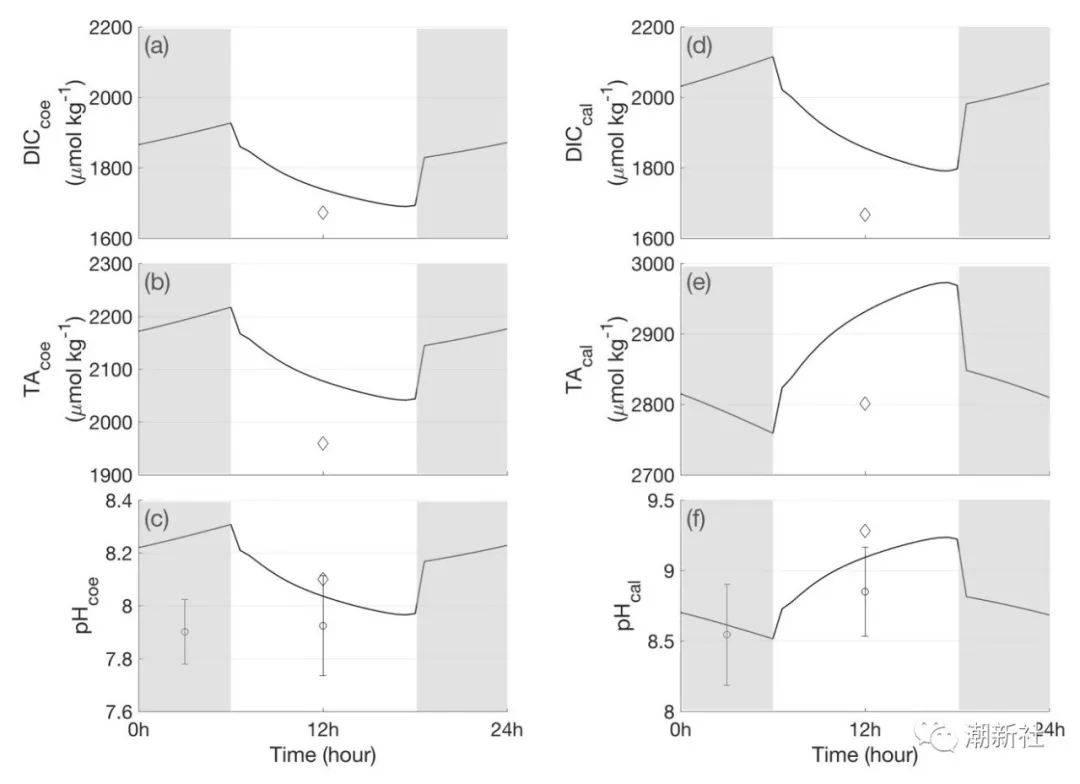
建立了恒定光照、温度、盐度、营养盐条件下珊瑚—虫黄藻共生模型、珊瑚杯体离子传输模型,模拟了珊瑚的光合作用,呼吸作用,钙化作用,模拟共生过程中主要新陈代谢过程的昼夜变化(图4)。虫黄藻光合作用速率随光强度表现出白天增强,夜晚减少。光合作用产物一部分有机碳用于呼吸,一部分转移给珊瑚宿主,一部分用于钙化作用。所以呼吸作用、有机碳转移、钙化作用也呈现出日高夜低的现象。通过珊瑚杯体模型的建立,模拟了珊瑚杯体各部分(珊瑚组织、腔肠、钙化流体以及外界海水)DIC,pH,和总碱度的昼夜变化(图5)。钙化作用引起的离子变化直接影响着钙化流体DIC,pH和总碱度的变化,通过浓度梯度差间接影响着珊瑚组织和腔肠体内部离子的浓度变化。

cbdc23898025c0b0df998ee96be3d907.jpeg

4. 模拟的珊瑚共生代谢过程24h周期变化。(a)光合作用,(b)虫黄藻呼吸作用,(c)有机碳向宿主的转运,(d)珊瑚虫呼吸作用,(e)钙化流体中文石饱和,(f)钙化速率。*号表明了Muscatine et al. (1984)在明暗条件下实验室所测量到的碳通量。阴影条表示暗周期。⃟表示在光照条件下测量的数据值(来自于Cai et al.,2016)。

093d4e186997087c7f963afeb62926db.jpeg

5.模拟的24h内珊瑚杯体各部分中DIC、TA 和pH的变化。 ⃟菱形符号表示在光照条件下测量到的珊瑚杯体各组分的DIC、TA、和pH值(Cai et al.2016; Al-horani et al. 2003)。

1 a) {' @0 v: J/ }

随着实验室及原位实验方法的不断精确化和多元化,珊瑚生态系统建模所需参数更为完善。自动化测定仪器在野外观测的应用以及遥感技术的发展为珊瑚礁生态系统模型研究奠定了数据基础。在此基础上,建立珊瑚生态系统模型,将共生藻光合呼吸生理过程、珊瑚虫有机体微环境生物化学过程、以及珊瑚礁生存环境中的主要生物地球化学过程联系起来,研究珊瑚共生体物质能量循环,诊断全球变化场景中珊瑚生态系统共生关系对单一或联合环境因子变化的响应机制。借助数值建模,可丰富和发展珊瑚礁生态系统研究理论和方法,预测珊瑚这一珍贵生态系统对气候变化和人类活动的响应,为研究全球变化下珊瑚的适应、保护与修复提供方法和决策支持该研究成果发表于学术期刊Frontiers in Marine Science。第一及通讯作者为华东师范大学河口海岸国家重点实验室专职助理研究员许一。该研究受到UNESCO/IOC-WESTPAC-Sub-Commission on “Coral Reefsunder Climate and Anthropogenic Perturbations” (IOC/WESTPAC-CorReCAP)项目的帮助,并得到国家自然科学基金重大项目(42090043的资助" q4 F$ M( r! F0 A- c

参考文献

  • Al-Horani, F. A.,Al-Moghrabi, S. M., & De Beer, D. (2003). The mechanism of calcificationand its relation to photosynthesis and respiration in the scleractinian coralGalaxea fascicularis. Marine Biology, 142(3), 419-426.

  • Cai, W. J., Ma, Y.,Hopkinson, B. M., Grottoli, A. G., Warner, M. E., Ding, Q., ... & Han, C.(2016). Microelectrode characterization of coral daytime interior pH andcarbonate chemistry. Nature Communications, 7(1), 1-8.

  • Fournier, A. (2013). The story of symbiosis withzooxanthellae, or how they enable their host to thrive in a nutrient poorenvironment. BioScience Master Reviews, 1-8.

  • Xu,Y., Zhang, J., Huang, H., Yuan, X., Zhang, j., & Ge, J. (2022). CoralSymbiosis Carbon Flow: A Numerical Model Study Spanning Cellular to EcosystemLevels. Front. Mar. Sci. 9:749921. doi: 10.3389/fmars.2022.749921.

    . p- Z+ |. `+ n
    : d) O! a5 [, S  q7 g$ N9 t
0 |$ E) i( I# t" B9 A9 `% Y0 g
0c94abafce568942c8c8ee4e486de0a5.jpeg
作者介绍:许一,博士毕业于Rutgers美国新泽西州立大学海洋系,随后在Rutgers COOL实验室从事区域海洋动力过程研究,曾任IMBeR区域项目办公室主任(2014–2018),目前在华东师范大学河口海岸学国家重点实验室专职助理研究员,主要从事海洋生态系统建模,海洋生物地球化学循环动力机制分析。

- I" i, P, V, K, X. G         

0 S5 i0 w0 B+ _) h
回复

举报 使用道具

相关帖子

全部回帖
暂无回帖,快来参与回复吧
懒得打字?点击右侧快捷回复 【吾爱海洋论坛发文有奖】
您需要登录后才可以回帖 登录 | 立即注册
尖叫的土豆
活跃在2026-3-23
快速回复 返回顶部 返回列表