收藏本站 劰载中...网站公告 | 吾爱海洋论坛交流QQ群:835383472

气候与人类活动共同驱动下多种污染物对海岸带生态系统...

[复制链接]

6 M3 h1 ]) ?* ^* a- X5 T

近日,厦门大学讲席教授、近海海洋环境科学国家重点实验室教授吕永龙率领其团队基于中国1.8万公里海岸带的系统性环境样本采样和社会经济调查分析,在气候与人类活动驱动的多种污染物对海岸带生态系统胁迫效应方面取得了重要进展。相关成果以“Multiple pollutants stress the coastal ecosystem with climate and anthropogenic drivers”为题在线发表于国际著名期刊Journal of Hazardous Materials(IF:10.588)上。

海岸带高强度的人类活动对海岸带生态系统健康产生了持续的胁迫作用,其中污染物排放尤其值得高度关注。在联合国可持续发展目标(SDGs)的17个目标中,至少有10个目标的实现与污染控制密切相关。以往大尺度的污染研究多以传统污染物为主,而新型污染物的研究则多集中在区域和流域等中小尺度上,本研究首次对我国1.8万公里长的海岸带开展了多介质多种新型污染物的分析,包括全氟烷基酸(PFAAs)、药品和个人护理品(PPCPs)、多环芳烃(PAHs)和金属(Metals)4大类共计66种污染物,并以此为基础,对陆基社会经济活动与污染物排放的关系进行分析,研究了气候因子对污染物分布的影响,并评估了各污染物的生态风险。

! y' o2 [, G8 b6 K; y0 j) ]

44b8e7ec4e2a8b0c161e46475c22c3cc.png

图1 四大类污染物在我国海岸带水体中的空间分布及相关影响因素和风险分析

. E( u1 u5 j8 s0 E% e" {  b

污染物广泛分布于我国海岸带(图1),这与以往中小尺度的研究结果是一致的,本研究进一步揭示了污染物空间分布差异及其所呈现的规律性,如PFAAs在我国北方海岸带地区暴露水平更高,而PPCPs,PAHs和金属则在东南海岸带地区暴露水平更高。除了暴露水平,各类污染物的成分谱图也呈现出较大的空间差异,如PFAAs中的全氟辛酸(PFOA)在长江以北的河流中占比更高,低分子量的PAHs主要分布在长江以南的河流中。本研究基于均匀布点结果也揭示了一些尚未被关注的高排放流域,与传统污染物(如氮、磷、石油烃、金属等)的重污染区主要集中在大流域入海口不同,新型污染物的高暴露水平更多出现于小流域入海口,这对污染监测和管理提出了新的挑战。

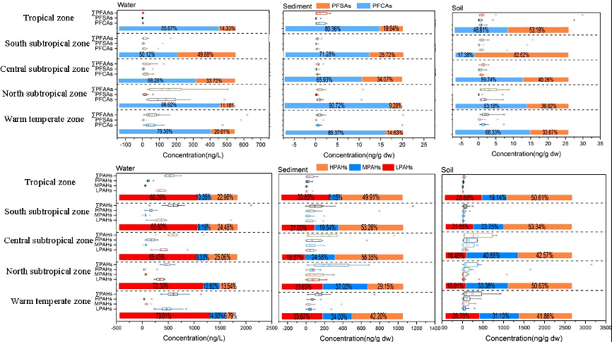
我国海岸带分布跨越五种主要的气候带,研究表明不同的气候因子对污染物在各环境介质中的分布也存在重要影响(图2)。主要表现为亚热带地区的环境介质中污染物浓度更高,如土壤中的PFAAs、土壤和沉积物中的PAHs、水体和沉积物中的PPCPs以及土壤和水体中的Metals。除了显著的纬度变化趋势,从单个气候因子的角度,温度与各污染物在土壤中的浓度水平呈负相关关系,与纬度值呈正相关关系,表明存在一种“冷捕集效应”,这一方面是由于高纬度土壤中TOC含量更高,对污染物有更多的吸附;另一方面温度高会导致土壤中部分小分子污染物的挥发。对于PFAAs和PPCPs等水溶性污染物,降水也是影响其分布的重要因子,降水量与土壤中这两种污染物的含量呈负相关关系。

) u1 s# }+ k6 @. U0 Z5 I, {/ M! _

8b0db8c77d0c9357c229d4ecb2c97de7.png

图2 PFAAs和PAHs在不同气候带的水、沉积物和土壤中的分布


- x8 H" U/ V( I5 R% z. @0 c. Y( n3 F# ^

本研究对主要社会经济指标和34种工业行业生产水平与污染物排放的相关性分析结果表明(图3),大部分污染物排放与第三产业生产(TIP)和国内生产总值(GDP)的关系最为密切。具体污染物还与相应的具体产业呈现显著的相关性,如PFAAs与纺织和皮革、木制品和家具、造纸和印刷、石油化工、制药、金属冶炼及制品等,PPCPs与特定的制药业、畜牧业/水产养殖业和生活废水排放等,PAHs与石油工业活动及其泄漏、运输和含油废水排放等,Metals与加工和制造业、木制品和家具、造纸和印刷业以及采矿业等。与传统污染物因国家修复行动而使其环境暴露水平呈下降趋势不同,新型污染物的排放在某些区域呈爆发性增长,缓解海岸带污染既需要区域针对性管理,也需要综合性的跨部门治理。

. F7 y( ]8 S4 o; X: c4 x% {' ]0 v

c7a1c0aec594902c435cffed62cc9dd6.png

图3 陆基人类活动对海岸带污染物排放的影响

( M7 r0 T: e+ z$ z  K

多种污染物共存给生态风险评价提出了极大的挑战,本研究结合多种方法评价我国海岸带地区传统和新型污染物的生态风险(图4)。首先,以浓度值与现有标准值相比对,发现部分高暴露水平已经产生了显著的生态风险,如小清河口的PFAAs,灵江口的PPCPs;进一步计算各污染物的预测无效应浓度值(PNEC),发现某些污染物的生态保护基准值过高;通过概率方法得出整个研究区的生态风险(ER)值,结果表明氨、铜和锌等污染物的生态风险最高,其中铜对鱼类和无脊椎动物的威胁最大,氨对藻类的威胁最大,不同种类受保护物种的优先污染物会有所差异;各河口不同污染物对水生物种的风险商数(RQ)差异较大,所有被调查的河口都存在重金属的高风险,特别是珠江流域和浙江沿海地区的铜,以及辽河流域的锌,其风险尤为显著,而小清河流域、浙江沿海地区和珠江流域面临着重金属和有机污染物的综合风险。同种污染物在不同气候带的生态风险也会存在差异。南亚热带地区生物的铜PNEC值(1.64 µg/L)低于其他气候区,在该气候区也发现了最高的ER值(34.8%),生活在南亚热带的物种对铜污染更敏感,风险最高。

5 W5 f3 K2 g2 m( E

ed1dbbdf7067984d2b51682dbb1fee02.png

图4 海岸带污染物的生态风险评价

由于陆基人类活动是海岸带和海洋污染的主要驱动因素,因此应将陆地和海洋视为防治海岸带污染和恢复海岸带生态系统功能的一个整体,加强对沿海水域的污染水平进行持续监测,进一步控制源排放、改善废物管理、调整产业结构、改进土地管理政策,以应对海岸带污染。


5 Y6 H" D' b5 L( J1 Y0 U
* H6 g9 u5 [% n3 v

论文来源:

% m  S1 L5 J* i' H- o+ E

文章的第一与通讯作者为吕永龙教授,共同作者包括王佩副教授、王尘辰博士、张梦博士、曹祥会博士、陈春赐(博士生)、王聪(博士生)、秀措硕士、杜荻硕士、崔昊天(博士生)、李小倩(博士生)、秦文友硕士、张毅硕士、王一超博士、张安琪硕士、于名召助理研究员、毛若愚(博士生)、宋帅副研究员、Andrew C. Johnson教授、邵秀清硕士、周譞硕士、王婷硕士、梁若玉硕士、苏超博士、郑晓奇博士、张盛博士、吕笑天博士、陈雨晴(本科生)、张悦清博士、李奇锋博士、Kotaro Ono教授、Nils C. Stenseth教授、Martin Visbeck教授、Venugopalan Ittekkot教授。参与该项研究的单位包括厦门大学、中国科学院生态环境研究中心、中国人民大学、中国科学院大学、英国生态与水文中心、挪威海洋研究所、挪威奥斯陆大学、德国亥姆霍兹海洋研究中心和德国不莱梅大学。该研究得到国家自然科学基金重点项目(42030707、71761147001)、国家重点研发计划项目(2019YFC0507505、2017YFC0505704)、以及中国科学院国际大科学计划项目(121311KYSB20190029)的资助。

论文链接:

https://www.sciencedirect.com/science/article/pii/S0304389421025383


. n$ W2 _- j" h- y1 c

本文来源:厦门大学近海海洋环境科学国家重点实验室

6 C& s' A2 o/ ]1 P% h  M

3 ]5 B6 q- V$ I- S6 K& x
回复

举报 使用道具

相关帖子

全部回帖
暂无回帖,快来参与回复吧
懒得打字?点击右侧快捷回复 【吾爱海洋论坛发文有奖】
您需要登录后才可以回帖 登录 | 立即注册
培林志远
活跃在2026-3-27
快速回复 返回顶部 返回列表