收藏本站 劰载中...网站公告 | 吾爱海洋论坛交流QQ群:835383472

海洋仪器~浮子、压力和雷达验潮仪的各自优缺点

[复制链接]

一、引言


  a: F4 \: u; X

众所周知由于月球和太阳引潮力的影响,地球上的海洋水面会产生周期性的涨落现象,也被称作潮汐。由于潮汐资料在军事、海洋工程、水产养殖、港口疏浚等多方面的重要作用,潮汐观测作为一种重要的海洋观测要素越来越收到各沿海国家的重视。我们国家也在沿海建立了大量的验潮站用于潮汐资料的采集。

随着现代科技的发展各种不同原理的验潮方式不断涌现,从传统的水尺验潮、浮子式验潮到压力式验潮、雷达验潮、声学验潮,各种验潮方式各有其优缺点。我们在我国沿海两个无人值守验潮站分别安装了浮子式、压力式和雷达式三种类型的验潮仪,进行了为期三个月的对比观测,并对得到的数据进行了对比分析,通过数据分析得出了当前条件下三种验潮仪综合性能优劣的大致结论。

fc3dc8af231515406222a8eafcb48d9a.png

雷达式验潮仪

1 g) p, Y2 a# t$ G: e" {1 u

二、试验概况

# p9 d/ i; v* n7 a9 \! t

在我国沿海的两个验潮站(以下简称验潮站#1和验潮站#2)分别安装了我所生产的SCA2-2A型浮子式验潮仪、YCY1-2型压力式验潮仪和SCA3-2雷达验潮仪三种类型的验潮设备。

SCA2-2A型浮子式验潮仪内部采用绝对值编码器,具有精度高,稳定性好,不需电池记忆当前位置等许多优点。验潮仪安装在具有消波功能的简易验潮井中,为防止浮子和重锤的钢丝绳在恶劣海况时发生缠绕,浮子和重锤分别悬挂在直径400mm和150mm的玻璃钢井管中,其中悬挂浮子的井筒底部安装有消波板。适当的消波既可避免波浪波高较大时磨断钢丝绳影响系统运行,也可以使潮位曲线平滑便于程序进行高低潮挑选。需要注意的是消波井孔的设置应符合海滨观测规范,并结合实际情况设置,避免过度消波使井内外水位差距大于1cm,否则会对潮时、潮高的观测引入较大偏差。

YCY1-2型压力式验潮仪可搭载多种压力传感器变送器,本试验中采用的是MMP4700变送器,该压力变送器是国内使用较普遍的一款压力变送器,具有一定的代表性。为避免海洋生物附着,压力变送器探头经网状丝织物包裹后安装在直径150mm的玻璃钢井管中,一般2~3周维护人员会重新更换包裹的丝织物,并对探头进行清洗,避免生物附着堵塞感压孔。

SCA3-2型雷达式验潮仪采用EXCEED公司的连续调频波物位计雷达,主要优点是不需建设验潮井,非接触式测量无生物附着,无机械磨损,而且显著降低了建站成本。雷达验潮仪安装时需要建设混凝土基础,并在混凝土基础上安装L型安装支架,L型支架高约1500mm,臂长约2000mm,雷达传感器安装在伸出码头的悬臂法兰盘上。支架和雷达传感器安装时要保证雷达法兰盘基本保持水平,避免雷达微波被码头外侧反射产生测量误差。

采集数据均通过电信3G移动网络和光纤两种通信方式将数据远传到到接收端。三种验潮仪使用的传感器信息如下表1所示。

1 三种对比验潮仪

验潮仪

浮子式验潮仪

雷达式验潮仪

压力式验潮仪

验潮站#1

SN17014

SN17930

SN17017

验潮站#2

SN17015

SN17931

SN17018

传感器种类

绝对值编码器

雷达传感器

压力传感器

型号

GAX60

EXCEED45

MMP4700


3 y/ g# p- g* I- }) N& ^5 v

三、数据对比分析

+ b1 P3 Y9 k" o! _) u* U

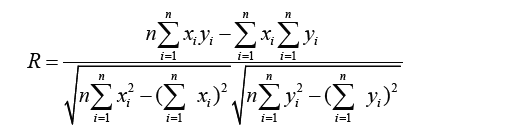
在验潮站的数据对比观测阶段,技术人员对三种验潮设备进行了多次对比观测,笔者随机抽取了部分对比观测的数据进行了对比分析。数据对比的方法是以水尺读数为参照标准,分别计算三种验潮仪输出数据与水尺读数的相关系数,相关系数是反映两变量间相关程度的重要统计指标,相关系数的计算公式如下:

6a94b4b1979baab040e9a23c46d2f3ec.png

其中R为相关系数,x,y为两变量的时间序列,相关系数R取值范围是0≤R≤1,相关系数计算结果越大说明验潮仪输出数据与水尺读数相关性越高,验潮仪的性能也越稳定。

⒈验潮站#1的对比数据

⑴水尺和雷达式验潮仪数据对比分

2验潮站#1雷达验潮仪和井内水尺比对表

时间

井内水尺

(cm)

雷达验潮仪

(cm)

偏差(cm)

11:00

621.7

621.4

0.3

11:10

596.4

597.2

-0.8

11:20

572.3

569.9

2.4

12:40

350.4

350.6

-0.2

12:50

326.0

325.7

0.3

13:00

301.1

300.3

0.8

14:40

169.2

169.6

-0.4

14:50

172.8

172.0

0.8

根据验潮站#1 2017年7月4日11:20~14:50的对比观测数据和以上公式计算得到井内水尺数据和相关系数R=0.9986,线性回归方程如下:H水尺=1.000718×H雷达+0.1212106。

⑵井内水尺和压力式验潮仪数据对比分析

3 验潮站#1压力验潮仪和井内水尺比对表

时间

井内水尺

(cm)

压力验潮仪

(cm)

偏差(cm)

11:00

621.7

625.7

-4.0

11:10

596.4

600.8

-4.4

11:20

572.3

575.5

-3.2

12:40

350.4

356.6

-6.2

12:50

326.0

331.2

-5.2

13:00

301.1

307.7

-6.6

14:40

169.2

174.0

-4.8

14:50

172.8

177.0

-4.2

根据验潮站#1 2017年7月4日11:20~14:50对比观测数据和以上公式计算得到相关系数R=0.9984,线性回归方程如下:H水尺=1.009058×H压力-12.29994。偏移误差可以通过设置压力传感器的基准点进行修正。

b33a79d5375fcf87e470ab8c8244aa55.png

压力式验潮仪

⑶井内水尺和浮子式验潮仪数据对比分析

根据验潮站#1 2017年7月4日11:20~14:50对比观测数据和以上公式计算得到相关系数R=0.9996,线性回归方程如下:H水尺=1.001210×H浮子-0.4579316。上述分析计算过程中,14:40分与14:50分的数据是由于在最低潮时浮子被搁浅产生的错误数据,故在计算相关系数时应予剔除。

4 验潮站#1浮子验潮仪和井内水尺比对表

时间

井内水尺

(cm)

浮子验潮仪

(cm)

偏差(cm)

11:00

621.7

622.0

-0.3

11:10

596.4

595.7

0.7

11:20

572.3

571.5

0.8

12:40

350.4

350.5

-0.1

12:50

326.0

326.9

-0.9

13:00

301.1

301.2

-0.1

14:40

169.2

188.5

-19.3

14:50

172.8

188.5

-15.7

⒉验潮站#2的对比数据

⑴水尺和雷达式验潮仪数据对比分析

根据验潮站#2测点2017年7月5日10:20~15:00的对比观测数据,对井内水尺与雷达式验潮仪数据进行线性回归分析,得到如下结果。水尺与雷达观测数据相关性很好,相关系数R=0.9909,拟和曲线如下:H水尺=1.020599×H雷达-16.11017。

5 验潮站#2 雷达验潮仪和井内水尺比对表

时间

井内水尺

(cm)

雷达验潮仪

(cm)

偏差(cm)

10:20

666.5

666.7

0.2

10:30

655.0

655.5

0.5

10:40

633.8

641.2

7.4

13:00

415.0

422.1

7.1

13:10

396.4

404.2

7.8

13:20

385.4

394.0

8.6

14:50

306.7

316.6

9.9

15:00

305.8

314.6

9.8

⑵水尺和压力式验潮仪数据对比分析

根据验潮站#2测点2017年7月5日10:20~15:00的对比观测数据,对井内水尺与压力式验潮仪数据进行线性回归分析,得到如下结果。水尺与压力观测数据相关性较好,但两者存在偏移误差。相关系数R=0.9803,拟和曲线如下:H 水尺=1.037509×H 压力-21.28226。偏移误差可以通过设置压力传感器的基准点进行修正。

6验潮站#2压力验潮仪和井内水尺比对表

时间

井内水尺

(cm)

压力验潮仪

(cm)

偏差(cm)

10:20

666.5

663.1

-3.4

10:30

655.0

651.2

-3.8

10:40

633.8

634.3

0.5

13:00

415.0

415.3

0.3

13:10

396.4

400.1

3.7

13:20

385.4

391.1

5.7

14:50

306.7

319.3

12.6

15:00

305.8

318.2

12.4

⑶水尺和浮子式验潮仪数据对比分析

7 验潮站#2浮子验潮仪和井内水尺比对表

时间

井内水尺

(cm)

浮子验潮仪

(cm)

偏差(cm)

10:20

666.5

666.2

0.3

10:30

655.0

654.8

-0.2

10:40

633.8

633.3

-0.5

13:00

415.0

415.2

0.2

13:10

396.4

397.2

0.8

13:20

385.4

386.4

1.0

14:50

306.7

307.3

0.6

15:00

305.8

306.2

0.4

根据验潮站#2测点2017年7月5日10:20~15:00的对比观测数据,对井内水尺与浮子式验潮仪数据进行线性回归分析,得到如下结果。水尺与压力观测数据相关性很好。相关系数R=0.9998,拟和曲线如下:H水尺=1.002949×H浮子-1.638243。

8 验潮站#1和#2与水尺读数相关系数比较

相关系数R

验潮站#1

验潮站#2

雷达式验潮仪

0.9986

0.9909

压力式验潮仪

0.9984

0.9803

浮子式验潮仪

0.9996

0.9998


' X1 B: X  D" E+ Y+ }9 S

四、数据分析和三种验潮仪在实际应用中的比较


) M6 R$ G3 X5 [' r! N. [5 b5 o2 u

根据上述的比较数据可以看出R浮子>R雷达>R压力,因为只是较短时间的比较,我们可以大致推测在采用试验所用传感器的情况下,浮子式验潮仪的精度和稳定性均优于雷达验潮仪和压力验潮仪,而雷达验潮仪又优于压力验潮仪。上述结果也与我们对三种仪器的实际使用经验相符,也符合目前我国海洋系统业务化运行验潮站多为浮子式验潮仪的现状。笔者分析造成雷达验潮仪和压力验潮仪的稳定性略低于浮子式验潮仪的主要原因如下:

雷达验潮仪在没有验潮井进行消波,虽然经过软件滤波,但输出数据相对于浮子式验潮仪仍有较大程度波动,软件滤波相对于验潮井消波仍有改进余地。压力式验潮仪相对误差较大的原因,主要是因为压力变送器比较容易被海洋生物附着导致传感器精度下降,尤其在水温较高的夏季偏远岸站维护人员很难做到频繁清洗,而且频繁的维护也容易导致压力验潮仪基准的变化,进一步引进误差。在以后的工作中采取有效措施进行压力变送器的防护仍是解决问题的方向。

实际使用中浮子式验潮仪通常需要建设具有消波功能的验潮井,所以浮子式验潮站的建设成本较高;雷达验潮仪通常安装在支架上,因此建设成本要低得多;压力式验潮仪的建设成本也非常低。但是由于压力式验潮仪属于接触式测量方式,在实际使用中容易产生生物附着,尤其在水温比较高的季节,通常在夏季需要定期清理,而且故障率较高。

根据上述结果和我们对三种仪器的使用经验,我们归纳了以下表格。

9 三种验潮仪对比表

类型

雷达式验潮仪

压力式验潮仪

浮子式验潮仪

精度

较高

中等

最高

稳定性

中等

一般

最好

建设成本

较低

最低

最高

维护成本

中等

较高

较低

五、结论


0 q! p: H/ z  M! @) u4 i; P) a

根据以上对比,可以看到R浮子>R雷达>R压力,所以可以得出浮子式验潮仪综合性能优于雷达验潮仪,雷达验潮仪优于压力式验潮仪。在实际使用中压力验潮仪安装方便,但是也存在容易产生生物附着和维护后容易产生基准偏移的情况。

5b1d1c4f2090ead7229ff917c2b666b8.png

浮子式验潮仪


# @8 Z. g! r, D3 z5 ?/ s
回复

举报 使用道具

相关帖子

全部回帖
暂无回帖,快来参与回复吧
懒得打字?点击右侧快捷回复 【吾爱海洋论坛发文有奖】
您需要登录后才可以回帖 登录 | 立即注册
宿命轮回
活跃在前天 00:46
快速回复 返回顶部 返回列表