收藏本站 劰载中...网站公告 | 吾爱海洋论坛交流QQ群:835383472

深海声学释放器发展历程与发展原理

[复制链接]
深海科考及海洋调查已成常态,深海声学释放器是深海仪器设备大量布放和可靠回收的重要保障。本文提出了伪随机编码+宽带多址技术,应用于自研的 6000 米声学释放器,提高了处理增益,使系统在较低信噪比下仍能远距离稳健地通信,经湖上、海上试验验证,方法有效。

6 ]6 ^( m. i7 d7 i4 U; R. K1 i) G% n
引言
深海声学释放器是深海着陆器、取样器、潜标、海底实验室等海底测量设备不可或缺的、重要的布放回收装置,也是深海军事应用中必备的深海仪器设备。深海声学释放器在海洋开发、海洋资源调查、海洋环境监测、海洋工程建设、海洋军事等多种领域都具有广泛的用途。声学释放器是利用水声遥控通信技术与船用甲板控制单元配合完成释放、测距、自检等功能,所以,船用甲板控制单元与声学释放器的有效通信,是释放器可靠工作的前提条件。目前,世界上已知的海沟数量达到 30 多个,对深海的海洋生态环境、海洋地质以及海洋生物的科学研究是国际地球科学尤其是海洋地球科学的研究前沿,深海科考及海洋调查已成常态。随着我国对海沟科学研究的不断深入,对深海声学释放器提出了迫切需求。对深海释放器需求大,国内在深海科学研究与工程应用中所采用的释放器大部分依赖进口,使我国的海洋安全存在很大的隐患。本文主要阐述了深海声学释放器的水声遥控通信技术及其应用。
; `8 O8 K1 R! K! C% w: |7 H, O- m
国外深海声学释放器概述
国外的声学释放器技术已较为完善,研制了多种型号的声学释放器产品,并逐步向多功能多特性方向发展。国外比较著名的声学释放器生产厂商有美国 Teledyne Benthos 公司和 EdgeTech 公司、法国iXbule 公司、英国 Sonardyne 公司以及日本 NGK 海洋系统公司等。美国 Teledyne Benthos 公司在水下工程仪器设备的开发一直处于世界领先水平,先后开发出一系列适用于不同水深的声学释放器,被广泛应用于国内外的海洋调查研究中。其 865 系列释放器为深海型,工作水深可达 12000 米,工作寿命标准 2 年,可选 4 年,可完成 25 万次释放应答。其新推出的 R12K 深海声学释放器,可用于 12000米深度,最大工作距离 12km,具有倾角显示、电源电压和剩余电量显示等功能[8][9]。国外深海应答释放器产品研究成果如表 1 所示。
c993888f2c01344f2a230061db83af04.png
在释放控制方式上,国外声学释放器多采用声学遥控释放方式,也有部分采用定时释放方式。在释放脱钩方式上,较多通过机械机构实现脱钩,也有少部分利用气动分离和电化学腐蚀等脱钩方式。在水声遥控通信技术上,大多采用 CW 脉冲单频编码方式,像法国 iXblue 公司的 Oceano 系列深海应答释放器,采用了单频编码方式而且没有数据校验的功能,虽然在大信噪比条件下的通信性能优越, 但是在复杂环境下的抗干扰能力有限、误码率增大。
/ B( K% d; O7 a' j3 ]2 l5 \; n
声学释放器工作原理
声学释放器是利用水声通信技术响应水声遥控指令,并执行相应的动作,使用时需要甲板单元配合,控制下达水声遥控指令,声学释放器系统工作原理如图 1 所示,该系统主要包括船用甲板单元、声学释放器、浮球及锚系等。
90cd69e39011cb81380188466a5dc592.png
声学释放器具有两种应用模式:作为布放回收单元和作为导航基元。当作为布放回收单元时,携 带所布放的海洋仪器在锚系作用下沉至海底,固定不动,完成测量任务后,船用甲板单元通过水声换能器发射的水声遥控指令进行释放回收,释放器正 确收到指令后,驱动电机,释放锚系,携带设备在浮球浮力作用下持续上浮,待露出水面后,进行打捞回收;当作为导航基元时,配合船用甲板单元或其他导航单元完成询问应答测距和声学导航定位功能[6]。海洋就是声信道,海水是实现水声通信远距离传输的唯一介质,也是影响水声通信质量的重要因 素,因此海洋环境的声学特性直接影响水声信号的传输。海洋信道是时变、空变的随机信道,会随声速分布、海底海面的变化而变化,信道的特性包括传播损失、混响、多途以及噪声等,使得在接收端信号的相位和能量发生了改变,接收的信号产生畸 变,严重影响了声学释放器的声学性能[2]。因此释放器想要获得可靠的远距离通信,必须采取如下措施:硬件方面,在发射端实现大功率的水声通信信号发射,并在接收端具有高灵敏度、低噪声的信号接收能力;软件方面,在信号体制上选择抗多途及抗干扰能力强、低虚警概率、高处理增益的信号编码方式,而且实现上要简单方便[5][7]。所以鉴于以上考虑,在本文中采用了基于伪随机编码的宽带多 址通信编码方式,在不增加信号处理复杂度的同时,将通信编码信号通过伪随机序列映射到较宽的 频带内,这样获得的扩频增益使得系统在较低信噪比的环境下仍能远距离稳健的通信。
; N; {6 r, n! G! F2 p4 A# S. s
伪随机编码的宽带多址通信技术
由于声学释放器应用在水下,工作环境复杂多 变,所以在选择通信体制时最关注的性能就是稳健性和可靠性。在本文中船用甲板单元与水下声学释放器之间的通信编码方式采用了伪随机编码的宽 带多址通信技术,即伪随机编码+宽带多址技术,实现简单又同时具有扩频通信的抗多途的优秀性能,在很低的信噪比条件下仍能获得更多的处理增益,从而稳健而可靠的工作。本文选取的工作频段 为 8kHz~16kHz。一组水声遥控指令包含多个码元,由帧头、地址码、指令码、校验码组成。一台甲板单元可控制多台声学释放器设备,每个释放器拥有独立的地址码,通过地址码区别于其他释放器设备,甲板单元同样通过地址码识别多台释放器。在通信中,正交编码与伪随机编码都是十分重要的技术,本文引入正交与伪随机编码概念,利用正交与伪随机的类似白噪声的统计特性,用于实现声学释放器的水声通信功能[4]。假设两个长度为 n 的码组x和y:
8567a3884f35e90ca8d39582006acbb9.png
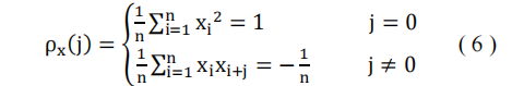
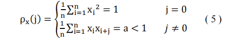
若码组x和y正交,则必有ρ x, y = 0。如果一码组中任意两个之间的相关系数都为 0,即两两正交,这组码组就为正交编码。由于正交码组之间的互相关性很弱,在远距离传输受到环境干扰后易于 区分,因而具有较强的抗干扰能力。声学释放器正是利用正交编码的正交来实现码分多址通信功能。早在 20 世纪 40 年代末,Shannon 就提出,在某些情况下,为了实现最有效的通信,应采用具有白噪声的统计特性的信号。伪随机编码就是具有白 噪声的统计特性,在多途、混响、干扰、噪声的环境下表现了优越的性能。对伪随机码定义可写为:凡自相关函数具有如下形式,称为广义伪随机码。
3afc3303e847701ce1e3b26d090b48e2.png
凡自相关函数具有如下形式,称为狭义伪随机码。
a29dbf32f1e025c04dd09b3c1ba60469.png
利用移位寄存器和反馈逻辑可以产生伪随机码。线性反馈移位寄存器结构如图 2 所示。
e48e8af1d39d360b714bba334e087cfe.png
通过线性反馈移位寄存器即可产生多个释放器的水声遥控指令,利用伪随机编码宽带多址技术实现了深海环境下的声学释放器的远距离稳健可靠通信机制。

- L& K% Q5 m0 ]9 Q( N; n2 t
试验验证
2017 年 1 月,在丹江口水库进行了湖上拉距与性能测试试验。水库水深 40 米左右,拉距最远距 离 12km 左右,由于受地理环境限制,释放器布放在母船水下 30 米左右,甲板单元换能器布放在小船水下 5 米左右,拉距时小船携带甲板单元往外航 行,在行驶过程中不间断进行指令测试,在最远距 离 11.7km 处,测试了释放器的检测概率和虚警概率,共发射 100 组水声遥控指令(其中释放指令 25组),正确接收共 97 组,释放成功率 100%。
2e58fda21fea4a1306a7d672221afbcb.png
2017 年 5 月,在南海搭载某次海上试验,进行了与国外释放器的性能比测试验,两台释放器共同挂载在同一条拖缆上,布放在水下 3000 米深度,海试照片如图 3 所示,左为法国 iXblue 公司生产的主流释放器产品,右为自研的 6000 米级释放器产品。分别进行了在无干扰条件下和有超短基线定位信标发射情况下的性能比对,结果为:在无干扰条件下,两者性能相当,但是在有干扰情况下,国外的释放器产品性能明显下降,无法正确接收遥控指令,而自研的释放器产品由于采用了伪随机编码+宽带多址技术和校验功能,受干扰影响小,抗干扰能力表现优越。验证了深海声学释放器远距离通信技术的有效性。
bccda02a12d38fe617b16a7d651ab784.png
* u* Z* R) R4 K2 b, y1 z/ n! r
结论
声学释放器是进行深海科考和军事应用仪器中大量布放和可靠回收的重要保障,本文提出的伪随机编码+宽带多址技术应用于自研的 6000 米级释放器产品,达到了稳健可靠的通信目的,经湖上、海上试验验证,方法有效。
- I& [" y7 V; ~# T) `  I

- a. j  d; Z) f: K
回复

举报 使用道具

相关帖子

全部回帖
暂无回帖,快来参与回复吧
懒得打字?点击右侧快捷回复 【吾爱海洋论坛发文有奖】
您需要登录后才可以回帖 登录 | 立即注册
象山港
活跃在2026-3-28
快速回复 返回顶部 返回列表