收藏本站 劰载中...网站公告 | 吾爱海洋论坛交流QQ群:835383472

[数据处理] WRF模式后处理总结

[复制链接]
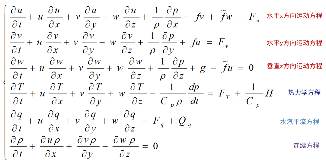
WRF模式是目前大气研究和业务预报应用最广泛的中尺度区域模式,适用于从数十米到数千公里的各种气象应用。应用模式模拟出结果,只是第一步,后续更重要的是将其加工成各种各样的产品,便于用户使用,则需要我们掌握模式后处理的技能。
/ }9 i/ F6 b) P一 模式后处理
- K% k0 J* {! k) O& \模式后处理常涉及到以下几点:

$ m0 ~* ^: ?* U& q5 Q
, }+ Y! g' t4 i% d; T% v(1)水平网格WRF 模式使用 Arakawa C 网格,一个 m×n 的矩阵中,共有 :
  • M中心质量坐标:m×n
  • U跳点坐标:(m+1)×n
  • V跳点坐标:m×(n+1)! h* w& M2 ^  s' Z, Y* A

    : {3 t; ~5 i. S# O" L( d/ G3 R. r
809d191a0f8cf0620b1fe30d17adc0d4.png
7 ]) t. _' D" ]* K

    6 G& g5 Z& F; ?+ b' k' @/ Y$ j$ A) L! D
    5 D7 y% v+ P1 ?- K8 v' [! n3 f; ?6 y
    : j2 u" ]8 @) K2 z/ M/ @% ]- _
    wrfout文件维度信息
C网格具有比较好的频散性和守恒性,高分辨率下优势更明显。但是变量在不同位置,给后处理带来了一些不便,一般使用时,将U,V位置的变量平均到M点进行使用

    , F# ~! i5 }5 N* k0 ~* Q0 o9 G
    * g- s1 Q( T: j' {* A
    5 N  t+ o. t$ `+ H, {$ W! z+ G- T% {6 u- d" F5 @
    b895c6ae34a8a90d6a06640da433ed52.png

    ( ]/ e4 Y1 E! h( K& y# T+ W4 p# t* s( @2 I  O3 S0 Z4 \

    1 O, A2 Z7 L, [# Q% |C网格示意图
         
( Y& x' u6 o% Z' z
, D. W! A# p* V! v; C0 u: ?( W
9b900f171f467830750088dd93e3e5e9.png
9ac9d35e45e366207ec8f67505557237.png
6cd94da9e7c45b8240bb6d45772f738d.png
回复

举报 使用道具

相关帖子

全部回帖
暂无回帖,快来参与回复吧
懒得打字?点击右侧快捷回复 【吾爱海洋论坛发文有奖】
您需要登录后才可以回帖 登录 | 立即注册
文星雨
活跃在2026-4-15
快速回复 返回顶部 返回列表