收藏本站 劰载中...网站公告 | 吾爱海洋论坛交流QQ群:835383472

海洋磁力仪绝对准确度的测试与分析实例

[复制链接]

一、引言

海洋磁力测量应用范围很广,无论在地球物理研究、经济建设,还是在军事中都得到了广泛应用。目前使用的海洋磁力仪按照工作原理主要有质子磁力仪和光泵磁力仪两种,每种仪器各有特色,质子磁力仪的绝对准确度高、无盲区、成本低,但灵敏度较低,有指向误差;光泵磁力仪灵敏度高,采样率高、噪声水平低,但存在盲区、指向误差和能耗高等缺点。Overhauser磁力仪是在质子磁力仪基础上发展而来的,它绝对准确度高,无盲区和指向误差,灵敏度、噪声水平等主要技术指标要高于一般质子磁力仪,但低于光泵磁力仪。目前关于海洋磁力仪技术指标检测的规定和方法在海洋磁力测量有关规范中说明不够全面和具体,有些文献进行了论述和分析,但缺少海洋磁力仪绝对准确度的检验和测试方法,本文利用国家基准地磁台仪器作为标准磁力仪,对海洋磁力仪的绝对准确度进行测试和分析,来验证仪器的出厂标称技术指标,增加仪器的可信度,同时提供一种仪器指标检测的手段。

二、目前海洋磁力仪的检测项目

在测量作业前,大多数测量设备被要求送到有检测资质的单位进行全面质量检测,检测合格的设备才能用于测量作业中。目前还没有专门检测海洋磁力仪的资质单位。在海洋磁力测量准备期,作业单位一般都是自行对海洋磁力仪进行常规的检测,检验项目主要有拖鱼系统水密性检查、高度计校准、深度计校准、拖鱼稳定性检验,以及测量数据的内符合精度、外符合精度检验等。拖鱼稳定性检验要求出测前在室外磁干扰少的地方连续24h采集磁总场数据,观察海洋磁力仪读数变化曲线是否连续稳定,仪器静态噪声是否符合要求。

有关文献对海洋磁力仪的部分性能技术指标的测试方法、要求进行了规范,对测试海洋磁力仪的性能指标提供了很好的帮助。但文中未涉及仪器的绝对准确度的测试方法。绝对准确度,有的文献称为绝对精度、磁测准确度等,绝对准确度是磁力仪测量值与真实值之间的差值,它决定了磁力仪测量值的精度,对大面积海区绝对磁力测量的成果精度产生直接的影响,因此海洋磁力仪绝对准确度是否在仪器技术参数标称的指标内,需要一个可靠准确的测试方法。

三、海洋磁力仪绝对准确度的测试和分析

目前国内常用的海洋磁力仪主要有美国Geometrics公司生产的G-887型质子磁力仪、G-882型和G-880型光泵磁力仪、加拿大MarineMagnetics公司的SeaSPY型Overhauser质子磁力仪。海洋磁力仪是电子设备,磁场传感器采集的是地磁场的磁通密度,仪器本身会存在系统差,绝对准确度表示海洋磁力仪的绝对磁场测量精度,是仪器系统差的主要部分。受工作原理制约,质子磁力仪的绝对准确度一般优于光泵磁力仪,而Overhauser质子磁力仪的绝对准确度最高,表1为几种常用海洋磁力仪绝对准确度和测量盲区的技术指标。

根据不同的测量要求,来合选择不同的磁力仪。在进行磁力仪绝对准确度技术指标测试前,要先进行磁力仪的静态稳定性试验,确保磁力仪的静态噪声符合规范要求,以保证技术指标测试的可靠性。这里以两台G-882型海洋磁力仪为例,分别采用两种方法测试它们的绝对准确度。

表1 几种常用海洋磁力仪绝对准确度和盲区

型号

工作原理

绝对准确度(nT)

盲区

G-887

质子磁力仪

﹤1

SeaSPY

Overhauser质子磁力仪

﹤0.2

G-882

光泵磁力仪

﹤3

15º~75º以外区域

G-880

光泵磁力仪

﹤2

15º~75º以外区域

⒈海洋磁力仪静态试验和噪声计算

磁力仪拖鱼静态试验时,要选择地磁场变化平缓的区域,最好小于1nT/m,应尽可能远离强磁性体、变电站、供电线、电话线、广播线和各类无线电信号发射塔以及其他磁干扰体。

静态试验时要求连续24h采集地磁场强度数据。图1为1号G-882型海洋磁力仪在某区域连续24h观测的静态磁场强度变化曲线图,1s记录一个数据。数据连续不间断,由于受日变影响,磁场强度变化在43939.31nT~44011.49nT之间,变化强度72.18nT,属于磁平静日,可以用于静态噪声的计算。

3ec364217ee9f6e1b40ec32283977672.png

图1  1号磁力仪24h静态试验磁场强度变化曲线

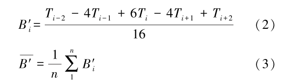
海洋磁力仪静态噪声Sn计算公式为:

0a7d87dd80ca62265d6998b9354fff12.png

206ccb7b90310fb680d1a30a553635de.png

式中n为参加计算的数据点个数,i为数据序列号1,2,3…n,

a58024b69216c19f85820e3e3857def3.png

单位为nT。运用公式⑴、⑵、⑶对1号磁力仪测量的24h的静态观测数据进行计算,得到该仪器的静态噪声为Sn=0.0129nT,噪声等级为二级。

图2为2号磁力仪在某国家地磁台站24h静态磁场强度变化曲线,利用上述公式对2号磁力仪测量的数据进行计算,得到该仪器的静态噪声为Sn=0.0128nT,噪声等级为二级。

28e4092460cb49f8e0b580885a0676fc.png

图2  2号磁力仪24h静态试验磁场强度变化曲线

⒉利用地磁测量仪器比对的方法检测海洋磁力仪绝对准确度

国家基准地磁台站的磁力仪绝对精度比较高,可以作为海洋磁力仪比测的标准仪器。在地磁测量技术规程中要求在每年出测之前和收测之后,应到国家基准地磁台对测量中使用的无磁经纬仪和总强度磁力仪进行比测,计算每台仪器的绝对仪器误差,用于测量成果的改正。为此这里借用该方法,来检测1号海洋磁力仪的绝对准确度。

检测方法:⑴把1号G-882海洋磁力仪的拖鱼放在地磁台站标准检测台的4#台(专门用于架设仪器检测的长方体台,使用无磁大理石制造),标准磁力仪放在标准检测台的3#台,然后通电开机。两台仪器同时观测,1min记录一组数据,连续记录10组数据。数据见表2。

表2 1号海洋磁力仪与地震台站磁力仪同时观测的数据(G-882磁力仪放置于4#台)

b3caf66168d896702aba0267f9f8e142.png

表3 1号海洋磁力仪与地震台站磁力仪同时观测的数据(G-882磁力仪放置于3#台)

1251b652c1105fb72a6e498ed3fae865.png

⑵把G-882海洋磁力仪与标准磁力仪的位置对调,G-882海洋磁力仪的拖鱼放在标准检测台的3#台,标准磁力仪放在标准检测台的4#台。开机,两台仪器同时观测,1min记录一组数据,连续记录10组数据。数据见表3。

⑶观测结束后,进行数据计算。由于3#台与4#台的总强度差值为0.07nT(标准检测台之间的总强度差值是已知的),G-882海洋磁力仪的拖鱼两次记录的数据,都统一归算到标准磁力仪位置上,用标准磁力仪观测值减去G-882海洋磁力仪测量值,然后求出每组两个仪器的观测值之差,最后求出10组数据的差值平均值,这样就可得到第一次观测计算出的差值平均值为F1=1.48nT,最大差值为1.57nT。交换位置后,第二次观测计算出的差值平均值为F2=1.55nT,最大差值为1.81nT。两次的差值平均值F0=1.515nT,最大值平均值为1.69nT。

F0=(F1+F2)=(1.48+1.55)/2=1.515  ⑷

因此可以把F0作为这台G-882海洋磁力仪的绝对准确度。G-882海洋磁力仪出厂的技术指标中绝对准确度标称值为小于3nT,因此该仪器绝对准确度符合厂家技术指标。

⒊同步连续观测分析法来检测海洋磁力仪绝对准确度

国家地磁台站磁力测量是连续不间断的,磁力仪放在单独的空间内,周围不允许有磁性的物品靠近。为此我们选取距离地磁台站磁力测量房间大概50m的地方,避开周围强磁性物体的干扰,利用2号海洋磁力仪与国家地磁台站磁力仪同步连续观测24h,数据采样率为1min。观测后分析数据,图3为两台磁力仪观测数据绘制的图像,蓝色曲线为国家地磁台站磁力仪观测数据,红色曲线为2号G-882型海洋磁力仪观测数据,两个曲线变化基本一致,曲线的形态和变化幅度基本相同。同步观测的数据差值△F基本是一个固定的值,由于两台磁力仪同步观测,距离较近,

因此受太阳日变的影响是相同的,它们同步测量数据的差值△F就消除了日变磁场强度的影响。图4为两台磁力仪同步磁场强度差值△F的变化曲线。磁场强度差值△F变化基本在7.2nT~7.6nT之间。取两台磁力仪24h同步观测数据差值△F的平均值

6976c314957012365778046f6cc81e54.png

就可以看作两台磁力仪器之间因位置不同带来的磁场强度差,也就是前面所说的仪器检测台磁场强度差,通过计算为7.4288nT。

6cced73a368613f5dd295e886ce4fd64.png

图3  两台磁力仪24h观测数据磁场强度变化曲线

fe5477444f36624321a6bac64a14076b.png

图4  两台磁力仪同步磁场强度差值△F的变化

由于国家地磁台站磁力仪测量精度高,这里把它作为标准磁力仪,把该磁力仪测量的24h数据分别减去 ,即减去两台磁力仪之间的位置磁场强度差,获得的数据就是地磁台站磁力仪在测试磁力仪位置的磁场数据,也就是把国家地磁台站磁力仪观测的数据归算到测试磁力仪所在位置的数据。归算后的磁场强度数据作为高精度的标准数据,来测试海洋磁力仪的绝对准确度。见图5。

06f025c2861ec1ca1e89f07ec9536224.png

图5  两台磁力仪数据归算到同一位置后的变化

faa7d0c64fcf11152ee3b46a197acb04.png

图6  测试磁力仪绝对准确度的变化曲线

把国家地磁台站磁力仪观测的数据归算到测试磁力仪所在位置后,比较两台磁力仪的观测数据,见图5。两条数据曲线基本吻合在一起,曲线的变化幅度和趋势基本相同。把归算后的地磁台站磁力仪观测数据作为高精度的标准数据,减去同位置测试的海洋磁力仪同步观测的数据,就得到2号G-882型海洋磁力仪的绝对准确度数据。图6为该海洋磁力仪的绝对准确度数据曲线。从图6看出,仪器的绝对准确度基本在0nT附近上下变化,大部分幅值在±0.2nT之间,最大值为0.4752nT,最小值为-0.4058nT,说明该仪器的绝对准确度比较高。G-882型海洋磁力仪技术指标中绝对准确度标称值为小于3nT,通过分析,其绝对准确度符合技术指标要求。

四、结束语

海洋磁力仪技术指标是仪器性能的基本要素,采用合理有效的方法来测试仪器的技术指标十分重要。使用地磁测量中仪器比对的方法以及与高精度的磁力仪同步连续观测分析法都可以检测出磁力仪的绝对准确度。当然在使用地磁测量仪器比对的方法时,最好观测更多的样本数据,这样获得的仪器绝对准确度精度更高;在与高精度的磁力仪同步连续观测分析法中,最好把测试仪器的探头与高精度的磁力仪探头靠在一起,就会减少中间位置归算中的误差,提高测量的精度。海上测量结束后,再把海洋磁力仪拿到地磁台站与标准磁力仪进行比对。把测前、测后两次测得的绝对准确度值再进行平均,这个平均值作为海洋磁力仪的仪器差,改正到海上磁力测量成果中去,可以提高海洋磁力测量成果的精度。


6 B) |5 u2 s2 O! i
回复

举报 使用道具

相关帖子

全部回帖
暂无回帖,快来参与回复吧
懒得打字?点击右侧快捷回复 【吾爱海洋论坛发文有奖】
您需要登录后才可以回帖 登录 | 立即注册
文星雨
活跃在5 天前
快速回复 返回顶部 返回列表